Poisson's ratio and phase transformations

Rod Lakes, Professor
Search tool
 Meaning of Poisson's ratio     negative Poisson main    Original article   Causal mechanisms  

Negative stiffness 

Phase transformations Poisson's ratio becomes negative
Phase transformations: Poisson's ratio
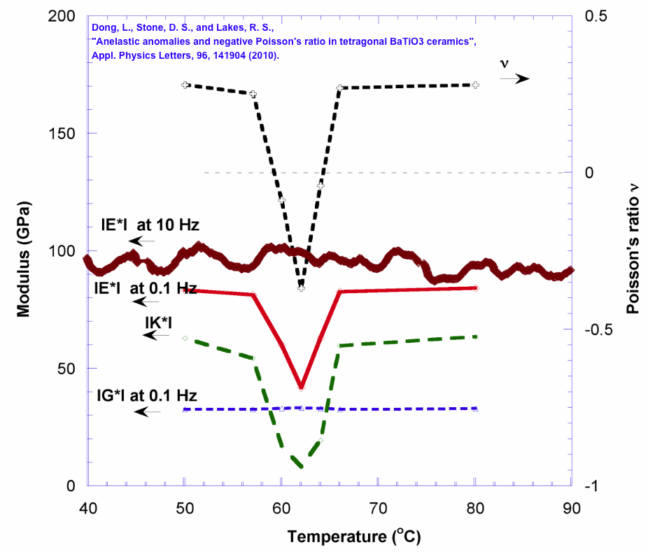
    At different temperatures and pressures, materials can undergo phase transitions that usually entail a change in structure. When a phase boundary is crossed or when criticality is approached, the compressibility rises. The ratio B/G of bulk modulus B to shear modulus G, becomes smaller. Consequently Poisson's ratio decreases in the vicinity of a solid to solid phase transformation. Reference [2] below adduces a volume transition in a polymer gel close to a critical point and the alpha - beta transition in poly-crystalline quartz. For different gel concentrations and for different quartz grain sizes, the phase transition temperatures change. These transitions are of first order. They reveal a minimum in Poisson's ratio, which arises from the decrease of the bulk modulus B. Such excursions in Poisson's ratio provide a distinctive signature for phase transitions, whatever the type of material. Softening of the bulk modulus also occurs for the ferroelastic cubic - tetragonal transition in BaTiO3, in the vicinity of the Curie point, with an auxetic minimum in Poisson's ratio [1]. In mixed valence transitions in YbInCu4, the cubic crystal structure does not change during transformation. Even so, the bulk modulus softens and Poisson's ratio drops over a narrow range of temperature near 67 K, adduced in [2]. Morphotropic phase boundaries allow one to achieve various physical properties over a range of temperature. The properties are tuned by varying the composition. For example negative Poisson's [3] ratio can be achieved in an isotropic metal over a range of temperature by this approach.

Phase transformation Poisson's ratio becomes negative InSn Phase transformations: softening of moduli
    Negative elastic modulus (a ratio of stress to strain) is anticipated from the Landau theory of phase transformations. As temperature T is lowered from a value above the transformation temperature, an energy function of strain and temperature with a single minimum gradually flattens, then develops two minima or potential wells. If the strain is a shear strain, the transformation is martensitic; for a hydrostatic strain, it is a volume change transformation. The curvature of this energy function represents an elastic modulus. Consequently, flattening of the curve corresponds to a softening of the modulus near a critical temperature. This phenomenon is observed experimentally. Below the critical temperature, the reversed curvature at small strain represents a negative modulus. If the material is free of constraint, the negative modulus entails instability. The material then transforms to a new crystal form in which the shape, the volume, or both may change. If the material is partially constrained as it is in a composite, extremely high values of damping or stiffness can arise in the composite. In that vein, research by our group on negative moduli is presented in our page on negative stiffness. Further references are provided on the role of phase transformations in physical properties including negative stiffness and viscoelastic / anelastic anomalies.
    The book by Salje [4] provides a general reference on phase transformations. Phase transformations are also of interest in geophysics [5]; elastic anomalies in that context are known. Phase transformation Poisson's ratio becomes negative SiO2 Phase transformation Poisson's ratio becomes negative BaTiO3

References
[1] Dong, L., Stone, D. S., and Lakes, R. S., "Anelastic anomalies and negative Poisson's ratio in tetragonal BaTiO3 ceramics", Applied Phys. Lett. 96, 141904 (2010). Anelastic anomalies, sharp variations in modulus and damping with temperature, were observed in tetragonal BaTiO3 via broadband viscoelastic spectroscopy after aging at 50 deg C for 15 h. The effect was most pronounced under electrical short circuit condition, at low frequency and under small excitation strain 10-6. Softening in bulk modulus and negative Poisson's ratio were observed near 60 deg C. Effects are attributed to an oxygen vacancy mechanism. A relaxational model cannot account for sharp response at smaller strains. Heterogeneity of negative stiffness is considered as a cause. APL link. get pdf.

[2] Greaves, G. N., Greer, A. L., Lakes, R. S., and Rouxel, T., "Poisson's Ratio and Modern Materials", Nature Materials, 10, 823-837 Nov. (2011). In comparing a material's resistance to distort under mechanical load rather than alter in volume, Poisson's ratio offers the fundamental metric by which to compare the performance of any material when strained elastically. The numerical limits are set by 1/2 and -1, between which all stable isotropic materials are found. With new experiments, computational methods and routes to materials synthesis, we assess what Poisson's ratio means in the contemporary understanding of the mechanical characteristics of modern materials. Central to these recent advances, we emphasize the significance of relationships outside the elastic limit between Poisson's ratio and densification, connectivity, ductility and the toughness of solids; and their association with the dynamic properties of the liquids from which they were condensed and into which they melt. get pdf.

[3] Li, D., Jaglinski, T. M., Stone, D. S. and Lakes, R. S., "Temperature insensitive negative Poisson's ratios in isotropic alloys near a morphotropic phase boundary, Appl. Phys. Lett, 101, 251903, (2012). Poisson's ratio, shear modulus, and damping of polycrystalline indium-tin (In-Sn) alloys in the vicinity of the morphotropic gamma-gamma + beta phase boundary were measured with resonant ultrasound spectroscopy. Negative Poisson's ratios were observed from 24 degrees C to 67 C for alloys near the phase boundary. Properties were unaffected by annealing at 100 degrees C for two days. This isotropic fully dense negative Poisson's ratio material is temperature insensitive, in contrast to other materials that undergo phase transformation. get pdf.

[4] Salje, E.K.H., Phase Transformations in Ferroelastic and Co-elastic Crystals, Cambridge University Press, Cambridge, 1990.

[5] McKnight, R. E., Moxon, A. T., Buckley, A., Taylor, P. A., Darling, T. W. and Carpenter, M. A., "Grain size dependence of elastic anomalies accompanying the alpha-beta phase transition in polycrystalline quartz", J. Phys. Cond. Mat. 20, 075229 (2008).

[6] Dong, L. Stone, D. S., Lakes, R. S., Softening of bulk modulus and negative Poisson's ratio in barium titanate ceramic near the Curie point, Philosophical Magazine Lett. 90, 23-33, (2010).


 Meaning of Poisson's ratio     negative Poisson main    Original article   Causal mechanisms  
Negative stiffness