EMA 611

Links, EMA611 class,   Rod Lakes

  Why test?
  disasters after U. Minnesota
  Air Canada 143 glider
  Caffeine decimal point
  Aloha Airlines 243, image, image 2, article.
  Asiana 214 SF.
  Airliner Composite tail NY Times
  Sneaker failure
  American Airlines 191
  United Airlines 232
  Air Florida 90
  Southwest Airlines 812 decompression
  firefighting c-130
  Navy ship dead in the water
  Mars rover probe need for software test after BBC news
  Mars climate observer unit conversion after Wired
  Mars lander success, 2 2021
  Therac radiation device, more software failure after ComputingCases.
  737 Max 1, software
  2, software
  3, culture
  4, culture
  2021 engine fail
  Success in a large project: the Webb space telescope.

  For your reports
  Guidelines for reports
  Quality check for reports
  Graph quality
  Significant figures
  Digital resolution: scope,
test frame
  Writing tools, LaTeX
  Books by Edward Tufte on graphs and
presentations
  Project ideas
  Pizza   Pizza slice

  Oscilloscopes
Data export

  Elasticity, material properties
  Role of Poisson's ratio in three dimensional deformation.
  Compression of blocks: determination of modulus.
  Durometer reading - modulus calibration
after Mix and Giacomin
  web elements Moduli and Poisson's ratio of the elements.
  Maps of physical properties, gone. CAE removed resource.

  Anisotropy resources
  Nye, J. F., Physical Properties of Crystals, Oxford, UK,1976.
  Lekhnitskii, S. G., Theory of elasticity of an anisotropic body, Mir, Moscow, 1981.

  Viscoelasticity resources
  introduction
  Viscoelasticity survey links
  Frequency dependence, modulus PMMA
  Table of properties
  Demonstrations
  Compress hockey puck at 3 Hz; dissipated energy warms it.
  Lakes, R. S., "Viscoelastic measurement techniques", Review of Scientific Instruments, 75, 797-810, (2004). get pdf
  Book
  Bone viscoelasticity links

  Ultrasonic waves lab 2
  Basic concepts pdf ultrasound after Stanford
  Notes on wave velocity and attenuation pdf waves
  Boston Piezo Optics Piezoelectric crystals;
Introduction to piezoelectricity.
tone bursts, sweeps, pdf

  Engine block thickness testing

  Test frames - different frames for 2024 onward. lab 1, lab 3
  Servohydraulic Testing Lab
  Servo-hydraulic notes pdf
  Shadow moire: map deformation
  moire fringes, compressed block
Analog control frame pdf
Digital control frame pdf
Digital control screen

  Holography and other optical methods lab 4
Holography was invented by Dennis Gabor who won the Nobel Prize for his work.
Interferometry was invented by Albert Michelson who won the Nobel Prize for his work.
  Interferometry for gravitational waves
Nobel Prize, 2017 for decisive contributions to the LIGO detector and the observation of gravitational waves.
  Holography links
  Laser lab image
  Other optical methods

  Resonant Ultrasound Spectroscopy (RUS) lab 5
  RUS diagram
  setup image
  Scope scan, PMMA 10-110 kHz
  Scope scan Al alloy 50-150 kHz
  Modes of isotropic cube, after Demarest.
  Modes of isotropic cube, full range of Poisson's ratio

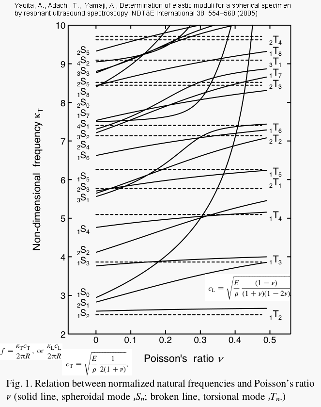
  Modes of isotropic sphere, after Yaoita et al.
  Modes of isotropic cylinders, after Jaglinski
  Videos of vibration modes of isotropic cylinder with length equal diameter, after T. Jaglinski : torsion,
shear,
bend,
mixed bend,
flattening,
symmetric axial,
tone bursts, sweeps, pdf
seismology of apples
  Maynard pdf of Physics Today article by Julian Maynard
  Measure damping via RUS, pdf, shear mode RUS pdf after Lakes.

  Broadband viscoelastic spectroscopy (BVS) used for projects
  BVS Instrument diagram
  BVS Instrument diagram 2
  BVS functions: image
  Broadband results graph
  BVS chamber image

  More resources
  Research links
  Other class links
yellow ball